CHP İstanbul Milletvekili Sezgin Tanrıkulu, Başbakan Binali Yıldırım'ın yanıtlaması istemiyle TBMM Başkanlığı'na verdiği yazılı soru önergesi ile 16 Nisan 2017 Anayasa referandumu öncesinde tespit edilen sahte seçmen sayısı ile seçmen kaydı dondurulanlar hakkında bilgi istedi. Tanrıkulu'nun soru önergesini Adalet Bakanı Abdulhamit Gül, Yüksek Seçim Kurulu (YSK) Başkanlığı'nın bilgi notuyla yanıtladı.
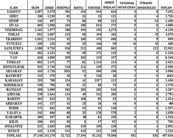
YSK'nın verdiği bilgiye göre; 1 Ocak 2017-15 Mart 2017 tarihleri arasında seçmen kaydı dondurulan seçmen sayısı 497610 oldu. YSK, seçmen kaydı dondurulma gerekçelerini de şöyle açıkladı: "Ölüm: 37140, Asker: 24279, Hükümlü: 22722, Kısıtlı: 17194, Yurtdışı: 52242, Adresi Boşalan: 7596, Vatandaşlıktan Çıkan: 502, İtirazen Dondurulan: 535."
İllere göre dağılım dikkate alındığında 94151 ile en fazla seçmen kaydı İstanbul'da donduruldu. İstanbul'u 29174 ile Ankara, 25349 ile İzmir takip etti. İllere göre dondurulan seçmen tablosu şöyle:



